[Algorithm] Diameter of tree
Diameter of tree ?
트리의 지름(Diameter of tree)는 다음과 같이 정의됩니다.
- 트리의 정점
a와 정점b사이에는 항상 단 한 개의 경로(path)가 존재합니다. 해당 경로를 두 정점의 거리(distance)라고 합니다.- distance:
d(a, b) - path:
p(a, b)
- distance:
- 한 정점
a와 임의의 정점x에 대해, distance(a,x)의 최댓값을 정점a에서의 이심률(Eccentricity)이라고 합니다.eec(a) = max(d(a, x)) (x in all vertex)
- 모든 정점의 이심률 중에서 가장 큰 값을 트리의 지름이라고 합니다.
diam(G) = max(eec(x)) (x in all vertex)
트리의 반지름은 모든 이심률 중에서 가장 작은 값을 의미합니다. 가중치가 없는 트리의 경우, 지름은 d이면 반지름은 ceil(d/2)이 됩니다.
DFS/BFS를 통한 구하기
구하는 방법
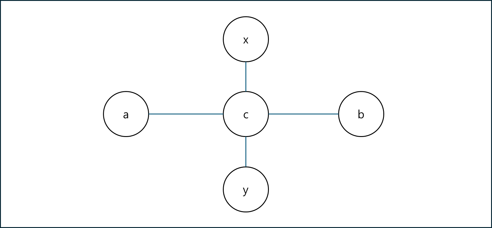
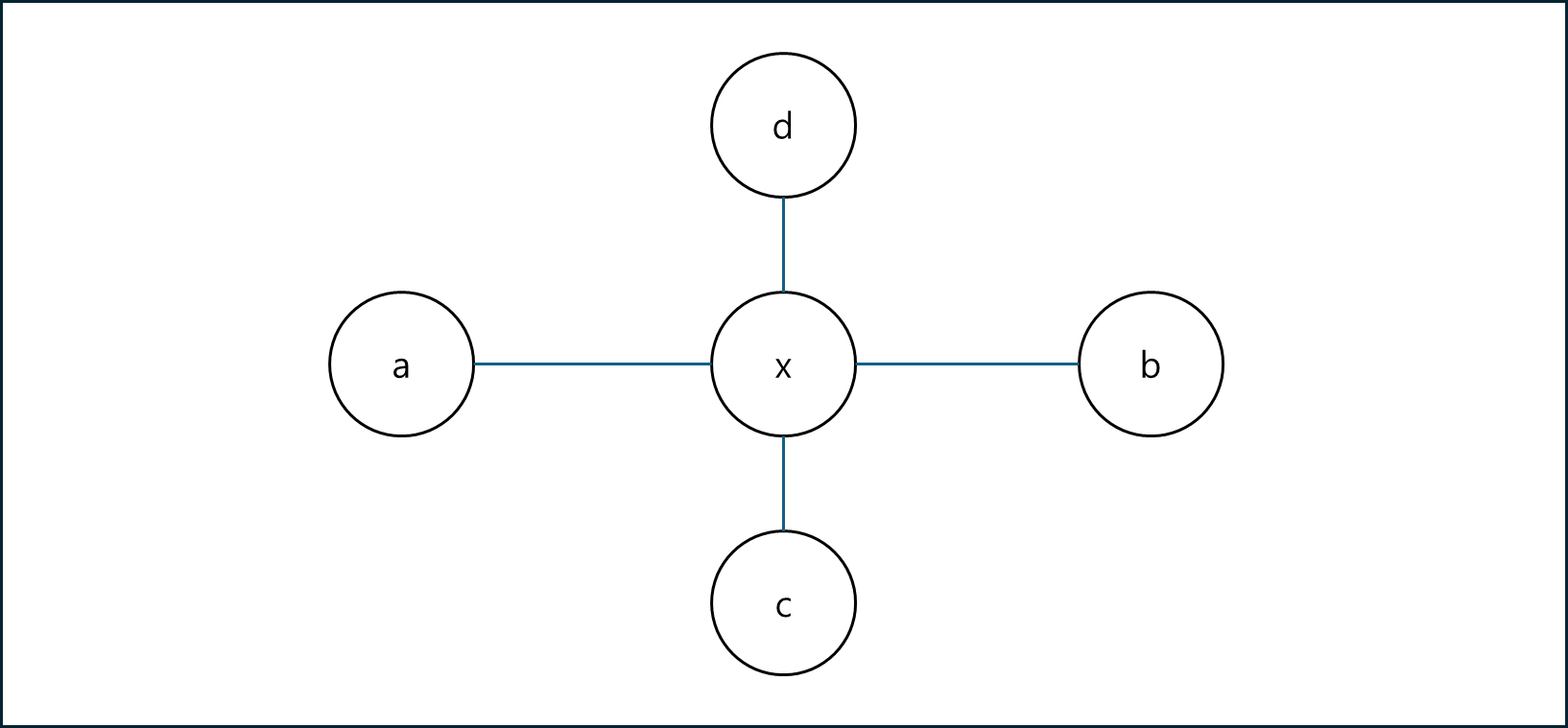
- 트리에서 임의의 정점
x를 선택합니다. - 정점
x의 이심률에 해당하는 정점y를 찾습니다. - 정점
y에서 이심률에 해당하는 정점z를 찾습니다.- 여기서 구한
d(y, z)가 트리의 지름이 됩니다.
- 여기서 구한
증명
정의: 트리의 지름을 이루는 두 정점을 a, b로 정하겠습니다.
가정 1: 정점x가 지름 경로상에 존재하는 정점이라고 하겠습니다.
x 지름 경로상에 존재하는 경우
이 경우 트리의 지름이 d(a, b)가 되게 하기 위해서는 x에서 모든 정점에 대한 거리를 정렬했을 때 d(x, a), d(x, b) 두 값이 1, 2등으로 가장 커야 합니다. 따라서 정점 x의 이심률에 해당하는 정점 y는 a, b가 되고 y 기준으로 찾으면 결국 a와 b를 찾게 됩니다.
가정 2: 정점 x가 지름 경로상에 존재하지 않는 정점이고, 정점 y가 정점 a, b가 아니라고 가정하겠습니다.
두 경로가 공유하는 정점을 c라고 했을 때, x에서 이심률에 해당하는 정점이 y가 되려면 d(c, y)가 d(c, a)와 d(c, b)보다 커야 합니다. 이렇게 되면 트리의 지름이 d(a, y) 또는 d(b, y)가 되므로 모순이 발생하게 됩니다.
트리이므로 두 경로를 연결하는 경로가 존재할 것입니다. 이때 정점 x의 이심률이 되는 좌표가 y가 되려면 d(c, y)가 d(c, d) + d(d, b)와 d(c, d) + d(d, a) 보다 켜야 합니다. 그러면 트리의 지름이 d(a, y) 또는 d(b, y)가 되므로 모순이 발생하게 됩니다.
∴ 해당 방법으로 트리의 지름을 구할 수 있습니다.
구현
1
2
3
4
5
6
7
8
9
10
11
12
13
14
15
16
17
18
19
20
21
22
23
24
25
26
27
28
29
30
31
32
33
34
35
36
37
38
39
40
41
42
43
44
45
46
47
48
49
50
51
52
53
54
55
56
57
58
59
60
class Main {
int[] dfs(int[][] graph, int sNode) {
Stack<int[]> stack = new Stack<>();
boolean[] visit = new boolean[graph.length];
int[] res = new int[]{sNode, 0};
stack.add(new int[] {sNode, 0});
visit[sNode] = true;
while(!stack.isEmpty()) {
int[] now = stack.pop();
if (now[1] > res[1]) {
res = now;
}
for (int i = 0; i < graph.length; i++) {
if (graph[now[0]][i] != 0 && !visit[i]) {
stack.add(new int[] {i, now[1] + graph[now[0]][i]});
visit[i] = true;
}
}
}
return res;
}
void solve() throws Exception {
BufferedReader br = new BufferedReader(new InputStreamReader(System.in));
// init graph
int size = Integer.parseInt(br.readLine());
int[][] graph = new int[size][size];
for (int i = 0; i < size - 1; i++) {
StringTokenizer st = new StringTokenizer(br.readLine());
int s = Integer.parseInt(st.nextToken());
int e = Integer.parseInt(st.nextToken());
int v = Integer.parseInt(st.nextToken());
graph[s][e] = v;
graph[e][s] = v;
}
// find y
int y = dfs(graph, 0)[0];
// find e
int[] e = dfs(graph, y);
System.out.printf("Diameter of tree Path: %d - %d%n", e[0], y);
System.out.printf("Diameter of tree: %d%n", e[1]);
}
public static void main(String[] args) throws Exception {
new Main().solve();
}
}
장/단점
- 장점
- 구현이 쉽습니다.
- 메모리 적게 사용됩니다.
- 단점
- 지름만 필요할 때 최고지만, 다른 정보도 필요할 때 비효율적입니다.
DP를 통한 구하기
구하는 방법
두 가지 정보에 대하여 DP를 수행합니다.
- DP[0]: 정점을 루트로 하는 서브 트리에서 가장 긴 경로 길이를 구합니다.
- DP[1]: 정점을 지나는 정점으로 사용하는 경우 제공할 수 있는 최대 길이를 구합니다.
구현
1
2
3
4
5
6
7
8
9
10
11
12
13
14
15
16
17
18
19
20
21
22
23
24
25
26
27
28
29
30
31
32
33
34
35
36
37
38
39
40
41
42
43
44
45
46
47
48
49
50
51
52
53
54
55
56
57
58
59
60
61
62
63
64
65
66
67
68
69
class Main {
int[] dfs(int[][] graph, int sNode, int[] res) {
// 가장 긴 자식 방향 경로
int[] first = new int[] {0, sNode};
int[] second = new int[] {0, sNode};
int len2 = 0, child2 = 0; // 두번째로 긴 자식 방향 경로
for (int i = 0; i < graph.length; i++) {
if (graph[sNode][i] == 0) {
continue;
}
// 부모 - 자식 관계 성립 시키기.
graph[i][sNode] = 0;
int[] child = dfs(graph, i, res);
if (child[0] + graph[sNode][i] > first[0]) {
second = first;
first = new int[] {child[0] + graph[sNode][i], child[1]};
} else if (child[0] + graph[sNode][i] > len2) {
second = new int[] {child[0] + graph[sNode][i], child[1]};
}
}
// DP[0]을 수행, 시작과 끝이 정해진 경로이므로 결과에 바로 적용.
if (res[2] < first[0] + second[0]) {
res[0] = first[1];
res[1] = second[1];
res[2] = first[0] + second[0];
}
// DP[1]을 수행, 부모 한테 알림.
return first;
}
void solve() throws Exception {
BufferedReader br = new BufferedReader(new InputStreamReader(System.in));
//== 입력 받기 및 초기화
int size = Integer.parseInt(br.readLine());
int[][] graph = new int[size][size];
for (int i = 0; i < size - 1; i++) {
StringTokenizer st = new StringTokenizer(br.readLine());
int s = Integer.parseInt(st.nextToken());
int e = Integer.parseInt(st.nextToken());
int v = Integer.parseInt(st.nextToken());
graph[s][e] = v;
graph[e][s] = v;
}
int[] res = new int[3];
dfs(graph, 0, res);
System.out.printf("Diameter of tree Path: %d - %d%n", res[0], res[1]);
System.out.printf("Diameter of tree: %d%n", res[2]);
}
public static void main(String[] args) throws Exception {
new Main().solve();
}
}
장/단점
- 장점
- 중간값을 활용할 수 있습니다.
- ex) 특정 노드를 root으로 할 때의 트리의 지름 구하기.
- 실제 DFS를 1회 수행으로 해를 구할 수 있습니다.
- 중간값을 활용할 수 있습니다.
- 단점
- 구현 난이도가 높습니다.
- 값 저장 구조를 잘못 관리하면 오류 발생하기 쉽습니다.
두 알고리즘의 시간복잡도는 O(N)로 같으므로 상황에 맞게 선택해서 사용하면 됩니다.

